• สำนักงานเขตพื้นที่การศึกษามัธยมศึกษาพิจิตร

ระบบรับสมัครนักเรียนออนไลน์
ปีการศึกษา 2569
สำนักงานเขตพื้นที่การศึกษามัธยมศึกษาพิจิตร

ตรวจสอบผลการสมัคร
ผู้สมัครสามารถดูผลการสมัครแต่ละขั้นตอนได้ทันทีโดยการกรอกเลขบัตรประจำตัวประชาชนแล้วคลิกปุ่ม "ดูผลการสมัคร"
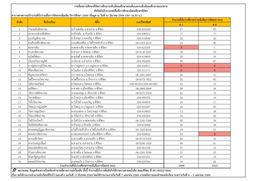
สถิติภาพรวมการสมัครเรียนออนไลน์
ผู้สมัครทั้งหมด
ชั้นมัธยมศึกษาปีที่ 1
ชั้นมัธยมศึกษาปีที่ 4
สถิติการสมัครเรียนแบบรายวัน
ข่าวประชาสัมพันธ์
ติดต่อฝ่ายวิชาการ

 ประกาศผลการพิจารณาจัดสรรที่เรียน
ภายในวันที่ 9 เมษายน 2569 เวลา ประมาณ 16.30 น. 
ตรวจสอบผลได้ที่: https://spmphichit.pawano.net


 กำหนดการมอบตัวนักเรียน
วันที่ 10 เมษายน 2569 เวลา 08.00 น.เป็นต้นไป

โรงเรียนที่ได้รับการจัดสรร

เอกสารและหลักฐานที่ต้องนำมา 
1. หลักฐานทางการศึกษา (ปพ.1) จำนวน 1 ฉบับ
2. สำเนาสูติบัตรนักเรียน จำนวน 1 ฉบับ
3. สำเนาบัตรประจำตัวประชาชนนักเรียน จำนวน 1 ฉบับ
4. สำเนาทะเบียนบ้านนักเรียน จำนวน 1 ฉบับ
5. สำเนาทะเบียนบ้านบิดา มารดา หรือผู้ปกครอง จำนวน 1 ฉบับ 6. สำเนาหลักฐานการเปลี่ยนชื่อ-สกุล หรืออื่น ๆ (ถ้ามี) จำนวน 1 ฉบับ 7. รูปถ่ายขนาด 1.5 นิ้ว จำนวน 1 รูป หมายเหตุ สอบถามรายละเอียดการมอบตัวนักเรียน (เพิ่มเติม) ณ โรงเรียนที่รับนักเรียนจัดสรร
5. สำเนาทะเบียนบ้านบิดา มารดา หรือผู้ปกครอง จำนวน 1 ฉบับ
6. สำเนาหลักฐานการเปลี่ยนชื่อ-สกุล หรืออื่น ๆ (ถ้ามี) จำนวน 1 ฉบับ
7. รูปถ่ายขนาด 1.5 นิ้ว จำนวน 1 รูป

หมายเหตุ สอบถามรายละเอียดการมอบตัวนักเรียน (เพิ่มเติม) ณ โรงเรียนที่รับนักเรียนจัดสรร


รณีมอบตัว ของ โรงเรียนสระหลวงพิทยาคม

เอกสารที่ต้องเตรียม

1.      สำเนาทะเบียนบ้านนักเรียน

2.      สำเนาบัตรประชาชนนักเรียน

3.      สำเนาทะเบียนบ้านบิดา

4.      สำเนาทะเบียนบ้านมารดา

5.      สำเนาทะเบียนบ้านผู้มามอบตัว (กรณีไม่ใช่บิดา-มารดา)

6.      เอกสาร ปพ.1 (ตัวจริง + สำเนา 1 ฉบับ)

7.      ใบแสดงหมู่เลือด (กรณีไม่ทราบหมู่เลือด)

8.      หลักฐานเปลี่ยนชื่อ-สกุล (ถ้ามี)

9.      สำเนาสูติบัตร

10.  รูปถ่าย จำนวน 1 รูป

ค่าใช้จ่ายที่ต้องชำระ จำนวน 3,000 บาท


กำหนดการ

เวลา 08.30 น.
ให้นักเรียนมารายงานตัว พร้อมกัน


ขั้นตอนการดำเนินการ

1.      ลงชื่อรายงานตัว

2.      สมัคร

3.      คัดกรองการอ่าน–การเขียน

4.      กรอกใบมอบตัว

5.      มอบตัว

6.      รับของจากฝ่ายสวัสดิการ


หมายเหตุ:
มีการทดสอบเขียน ขอให้นักเรียนเตรียมตัวให้พร้อม